然而,与其他水产品一样,罗非鱼在储存和运输过程中会因脂质自氧化、蛋白质降解、酶促反应和微生物代谢等因素变质而产生有害物质,从而给鱼制品带来特殊异味。这些异味不仅仅给人带来嗅觉不适,还影响到从捕捞到食用的整个生产加工链。特别是具有鱼腥味、泥土味、蘑菇味、金属味、樟脑味和霉味等特征的异味,不仅阻碍了消费者的接受度,还破坏了这些水产食品的整体可取性。因此,预加工淡水鱼产品鱼腥味去除问题亟待解决。
随着生活水平的全面提高,具有抗氧化活性的天然物质越来越受到消费者的青睐。浸泡或者涂覆是将天然抗氧化剂应用于鱼或其他海产品的常规处理方法。据报道,浆果提取物可作为食品添加剂的替代品,用以抑制肉以及肉制品中的脂质氧化和蛋白质降解作用,且其中含有抗氧化多酚,对人体健康有益,还有助于稳定肉制品。作为常见浆果之一的蓝莓,是高含量花青素的代表,与抗氧化、抗炎和抗增殖、改善视力、抗肥胖特性、抗癌和神经保护功能有关,应用于着色剂及功能性食品等方面。据报道,天然蓝莓花青素(blueberry anthocyanin,BA)可作为pH响应指示剂,结合天然多糖壳聚糖(CS)基材与纤维素纳米晶(CNC),制备用于虾保鲜和视觉新鲜度检测的一种多功能包装膜。另外,Shao等指出原花青素(PA)、鼠尾草酸(CA)、槲皮素(QE)等对保持罗非鱼片在冷冻过程中的新鲜度及维持罗非鱼片的色泽和品质有显著效果。目前,花青素应用于肉类风味的研究报道还较少,在食品保鲜研究上具有很大的潜力,同时面临极大挑战。
广东海洋大学食品科技学院硕士研究生熊华兴、广东海洋大学食品科技学院滕慧副教授等在本文以罗非鱼为研究对象,鉴定了罗非鱼片中主要的腥味化合物,并通过电子鼻、GC-IMS和GC-MS对BA改善罗非鱼肉贮藏期间风味变化的效果做出了评价。
电子鼻分析图1A为蓝莓花青素添加前后罗非鱼中挥发性成分变化的雷达图。如图所示,W2S、W1W、W1S、W1C等传感器的响应值较高,表明醇醛酮类、烷烃类、硫化物和芳香族化合物是罗非鱼肉中主要的气味化合物。经不同的BA浓度处理后,鱼肉样品中的挥发性成分对W2S、W1W、W1S等传感器的响应值显著低于Control与对照组,且伴随一定的浓度依赖性,说明BA的处理可以有效地抑制鱼肉中醇醛酮类物质、短链烷烃以及含硫化合物类物质等的产生,对鱼肉有显著的脱腥效果。而在W2W、W3S、W6S 3个传感器的响应值几乎相同,说明BA对鱼片中有机硫化物、长链烷烃、氢化物类等物质的变化无显著影响。
为了进一步评估不同BA浓度对罗非鱼肉中挥发性成分的影响,采用主成分分析(PCA)分析,来评估样本之间的异同。由图1B知,PC1和PC2代表了98.95%的样本变量,证明PCA模型具有较好的可靠性。在主成分分析区域内,BA组与阳性对照GA组、空白Control组之间没有重叠,说明不同处理会使得罗非鱼中挥发性成分发生显著差异。并且PCA分析结果表明BA浓度的变化也会带来鱼肉中的挥发性成分的差异。
GC-IMS分析通过比较IMS-RI和漂移时间来表征鱼肉中挥发性物质的差异。图2A为不同样品处理后罗非鱼中挥发性成分的GC-IMS三维图谱,能直观的观察到小分子化合物强度的前后变化。为便于分析,以空白组光谱俯视图为参比,扣减得到GCIMS参比光谱图(图2B),其中白色背景,红色区域和蓝色区域分别表示对应区域挥发性物质的含量接近于,高于或者低于参比值,通过光谱图对比挥发性成分的差异性。
如图2B,在漂移时间0.5~2.0 ms和保留时间0~800 s区域内有效的挥发性化合物较多。与control组相比,0.06 mg/mL GA组的图谱显示的挥发性化合物与之最接近,而在不同浓度BA组处理下,鱼肉中的部分挥发性化合物出现显著变化,其中在光谱图中区域1所选的范围内,包含了大部分未出现显著变化的物质(图3区域A),主要为酯类、醇类、烷烃类;部分随BA浓度升高而强度增大的物质(图3区域B),主要为酸类、醇类及少数醛,且酸类对肉制品风味影响较小;还有小部分出现显著减少的物质(图3区域C),包括直链醛、烯醛及酯类,其中醛类对肉制品风味影响较大。与control组相比,光谱图中区域2所选的范围内,BA组鱼肉中出现部分可能因BA加入而产生的挥发性化合物,这些化合物的强度伴随BA浓度升高而增强(图3区域D),这些物质主要为烯醇,烷烃及酮类,这部分物质对肉制品风味影响较小。
结合GC×IMS内置的NIST数据库和IMS数据库,GC-IMS鉴别出8类57种鱼肉中的挥发性化合物。鉴定出的挥发性化合物的碳链普遍集中在C3~C10之间,其中醛类(9),醇类(11),酮类(10),酯类(16),其他(11)。
如图3所示,对比与Control组,BA处理组主要对罗非鱼的醛类、醇类及酯类等挥发性成分在种类和含量作用显著(区域B、C和D)。其中,鱼肉中的(E)-2-壬烯醛、(E)-2-辛烯醛及乙酸乙酯等挥发性物质的浓度随BA浓度的升高呈现明显降低的趋势,伴随一定的浓度依赖性。而(Z)-3-辛烯-1-醇、1-庚醇、2-丙硫醇等挥发性醇类物质的的升高呈现上升的趋势,但BA组间未出现显著差异。
GC-MS分析如图4A所示。通过物质峰图谱,比较各物质峰的保留时间,得到了37个挥发性风味物质标记峰,其中检测出8种醛类、7种醇类、5种酸类、5种酯类和其他(3种烃类、2种胺类、一种醚类和1种酚类)。
如图4B所示,鱼肉中的挥发性物质己醛、壬醛、1-己醇及1-辛醇的含量在BA作用下变化明显。其中己醛含量由(527.85±77.78)μg/kg显著减少到(58.88±16.89)μg/kg、壬醛含量由(209.66±45.13)μg/kg显著减少到(72.03±17.37)μg/kg、1-己醇含量由(171.38±4.75)μg/kg下降到(31.47±10.68)μg/kg、1-辛醇含量由(52.90±5.77)μg/kg下降到(18.36±2.85)μg/kg(P<0.05),说明BA对鱼肉中己醛、壬醛、1-己醇及1-辛醇的影响较大,对罗非鱼的脱腥有较好的效果。
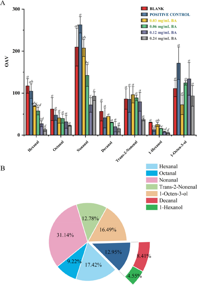
如图5A所示,在Control组鱼肉中具有7种重要的醛类挥发性化合物(己醛,OAV=117.30±17.28;辛醛,OAV=62.11±27.32;壬醛,OAV=209.66±45.13;葵醛,OAV=56.62±22.82;反式-2-壬烯醛,OAV=86.02±24.35)和2种醇类(1-己醇,OAV=30.60±0.85;1-辛烯-3-醇,OAV=111.01±19.40)。结果发现,与对照组相比,实验组鱼肉中的己醛OAV值由117.30±17.28减少到13.08±3.75,、壬醛OAV值由209.66±45.13减少到72.03±17.37,1-己醇OAV由30.60±0.85减少到5.62±1.91。结合定量的结果说明己醛、壬醛、1-己醇对鱼肉的风味贡献较大。
如图5B所示,为所统计的鱼肉中特征风味化合物(OAV>1)的气味相对贡献率(ROC)。ROC越大,说明该组分对样品整体的风味贡献越大。由图可知,己醛的ROC为17.42%,辛醛的ROC为9.22%,壬醛的ROC为31.14%,癸醛的ROC为8.41%,反-2-壬烯醛的ROC为12.78%,1-己醇的ROC为4.55%,1-辛烯-3-醇的ROC为16.49%。
本研究以7个共有香气组分作为因变量,蓝莓花色苷提取物的不同浓度作为自变量,通过PLS-DA(图6A),可以实现不同浓度蓝莓花色苷提取物腌制预处理的罗非鱼样品有效区分。前两个主成分(PC1和PC2)分别解释了总变率的54.2%和18.4%。从GC-MS数据得出的评分图显示,不同浓度蓝莓花青素提取物处理的罗非鱼肉样本之间存在显著的差异。
为了更好地理解来自不同BA腌制的罗非鱼样本之间的可变性,采用了投影变量重要性(VIP)图。在这些图中,VIP评分超过1的变量被认为具有统计学意义(图6B)。分析表明,1-辛烯-3-醇、己醛和反-2-壬烯醛在不同BA处理的罗非鱼样本之间存在明显差异。
综上,电子鼻结果表明,BA组鱼肉在表征风味物质的电子鼻传感器中,获得比Control组和对照组(0.06 mg/mL GA)较低的响应值,说明BA处理对减少鱼肉中醛醇酮类物质、短链烷烃以及含硫化合物类物质等的产生具有积极作用。GC-IMS共检测出8类57种物质,鱼肉中的(E)-2-壬烯醛、(E)-2-辛烯醛、乙酸乙酯等挥发性物质受BA的影响较大,体现在GC-IMS指纹图中各物质所对应点与对照组相比亮度减小而说明的浓度的减少。GC-MS识别出8类37种鱼肉中的挥发性化合物,其中BA组鱼肉中的己醛、壬醛、1-己醇及1-辛醇等物质的含量与Control相比具有显著性差异;另外,鱼肉中OVA>1的风味物质包括己醛、辛醛、壬醛、葵醛、反-2-壬烯醛和1-辛烯-3-醇,而BA处理对鱼肉中己醛和壬醛的OVA值影响显著。通过PLS-DA和VIP分析指出,己醛、反-2-壬烯醛和1-辛烯-3-醇在BA处理的罗非鱼样本中存在显著差异。
综上所述,BA具有改善罗非鱼肉贮藏期间风味变化的作用,为水产品风味改善提供技术支撑,有助于进一步探讨BA对鱼片的脱腥机制及其中活性小分子物质作用的相关代谢途径。


