案例分享
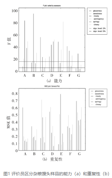
在正式感官试验之前,采用Panel Check对评价员感官描述的正确性、稳定性、一致性进行评估。软件中的Fplot、MSEplot可以用来评估评价员区分能力和重复性,F值为组间差异与组内差异的比值,是衡量评价员对样本的区分能力,F值越高表明区分能力越好。MSE值为组内方差,可以用来衡量重复评估是否是效果不错的,MSE值越低越好。
图1(a)的每条线代表一个感官属性,由图1可知,评价员的大部分属性的F值都高于或接近5%的显著水平,说明部分评价员的区分能力较好,能够明显区分这些属性间的差异。图1(b)中评价员的属性MSE值都在0~1,表明评价员的重复性较好,上述结果表明该评价员具备良好的评估样品的能力。图2(a)是Profileplot,黑色粗线代表评价团队对某一属性的打分均值,其他颜色线代表每个评价员的打分情况,彩色线条与黑色线条趋势越一致,表明评价员的整体一致性越好。
图2(b)是曼哈顿图,图中每个柱形有黑白深浅的变化,能反馈评估感官评价小组成员对特定属性的评估能力,具体而言,白色圆柱形较多,说明评价员在这个属性表现较好,黑色圆柱形面积较多,则代表评价员在这个属性表现较差。上述2种方法结合可以监测评价小组整体的一致性,也可以快速筛选出评价异常的评价员。综合来看,评价小组打分趋势基本一致,除了在涩味评测上略有差异之外,其他属性均一致性较好。此数据分析结果表明,感官评价员的筛选和培训是有效的,可以进行杂粮馒头的定量描述性分析试验。


