Flash Profile(FP)法是最接近传统描述性分析的快速感官分析方法,是Dairou和Sieffermann在自由选择剖面的基础上提出的一种新方法,该方法舍去了传统方法中评价员的培训环节,增加了样品的排序环节。实验中,每一个评价员都有自己的感官属性清单和强度判断标尺,并根据感官属性强度进行排序。相较于评价员给出感官属性强度,这种方法更易执行。Flash Profile检验法为使用未经培训的消费者作为评价员提供了可能性。
        招募评价员,数量没有强制要求,通常不少于4位;评价员不必是产品专家,评价员不需要在特定产品上进行培训;当使用消费者作为评价员时,数量从20~200位均有,通常是40~50位。
感官专业人员对评价员进行产品介绍,要求评价员根据自己对样品的理解产生对样品感知的所有描述词。
评价员看其他评价员的描述词,再在自己的清单上增加或者替代,确定测试描述词。
评价员评价样品,并对样品的不同感官属性强度进行排序;在排序阶段,允许重复品尝样品,根据自己的标尺把样品按由低到高的顺序排列。
        感官专业人员收集整理数据,分析实验数据,获得实验结论。统计分析方法可使用非参数统计方法,如Friedman 检验、Page 检验、相关性分析等。
        Flash Profile 法的优点是评价小组不必形成标准化的描述语言,因此也不需要具有明确定义的标准参比样;不需要针对某一个产品进行特定的培训,同时,只需要较少的时间收集数据,也更加地节约成本。
        Flash Profile 法的缺点包括因为实验使用排序标度,因此每次排序至少需要对比两个样品,当评价多个样品时,工作量会剧增,一般评价样品不建议多于6个;实验结果仅适用于单次试验样品间比较,多次实验数据不能进行横向比较;因为数据是排序结果,不代表强度大小,不能获取关于感官属性强度之间具体差异。
        Flash Profile 法对感官属性不熟悉,或者对于在探索阶段的产品测试具有明显的优势;当实验同时测试了消费者喜好度时,能够获得喜好地图,对于产品开发具有较大意义;因此该方法常用于项目开始阶段。
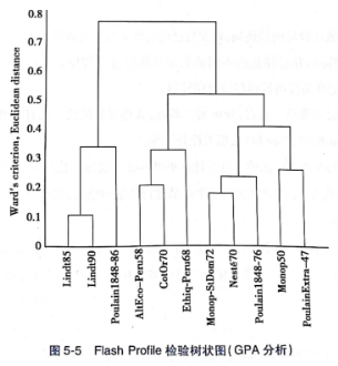
        试验样品为市售巧克力11种,巧克力在品牌、可可含量、成分上存在差别;使用学生作为评价员,实验前对感官进行使用方法上的培训;实验中要求评价员自由选择感官属性并对样品的感官属性强度进行性排序。实验结束后,根据不同评价员的实验结果,生成样品描述语言;使用独立样本主成分分析法对实验结果进行分析,分析评价员的评价维度;使用广义Procrustes分析(GPA)和对因素分析(MFA)可获得FP 感官地图,如图5-4编号。FP 感官图能够清晰表示出样品的相关性、样品簇、方差;使用聚类分析可获得样品的树状图谱。通过树状图5-5,可以便利的展示样品间的相关性。


 
