本研究系统考察了不同烘焙温度(80~180°C)与时间(30~120 min)对油茶籽油氧化稳定性及热诱导有害物生成的影响。结果表明,当温度超过160°C时,油脂氧化显著加剧,过氧化值、羰基价和对茴香胺值迅速升高,反式脂肪酸(主要为反式油酸与反式亚油酸)含量亦显著增加。多环芳烃、氯丙醇酯和缩水甘油酯的生成量随温度升高和时间延长而上升,但总体处于较低水平;丙烯酰胺含量在140°C达峰后随温度升高而下降,主要归因于前体耗竭与挥发增强。在13种杂环胺中仅检出去甲哈尔曼与哈尔曼,且游离态与结合态呈现不同的温度依赖性转化规律。主成分分析显示,160~180°C区间内有害物与氧化指标变化显著,时间效应尤为突出。相关性分析进一步揭示,油脂氧化指标与多种有害物含量呈显著正相关,证实氢过氧化物、活性羰基化合物等氧化产物作为共同前体或介质,在多有害物协同形成中发挥关键驱动作用。因此,建议将油茶籽烘焙温度控制在140°C以内、时间不超过60 min,可有效抑制油脂氧化劣变并显著降低多种热诱导有害物生成风险。未来研究可深入探究油茶籽内源性抗氧化组分(如多酚、维生素E)在热加工中的动态变化及其对有害物形成的阻控机制,并基于关键氧化产物与有害物生成的定量构效关系,开发精准调控技术,实现从末端检测向过程主动防控的转变,为油茶籽油的高品质、低风险加工提供理论支撑。

图形摘要

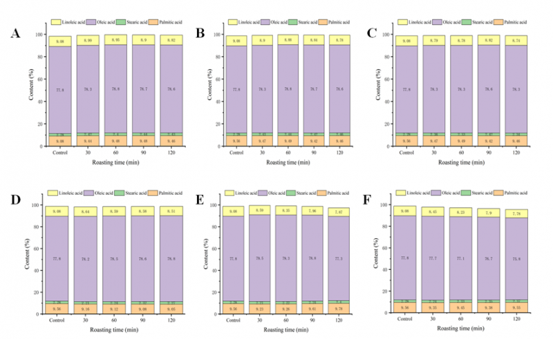
图1 不同烘焙温度(A:80℃;B:100℃;C:120℃;D:140℃;E:160℃;F:180℃)连续处理对油茶籽油主要脂肪酸组成的影响

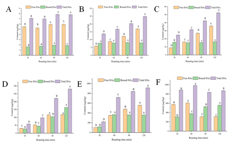
图2 不同烘焙温度(A:80℃;B:100℃;C:120℃;D:140℃;E:160℃;F:180℃)连续处理对油茶籽中杂环胺的影响

图3 不同烘焙温度连续处理对油茶籽油中两种反式脂肪酸(C18:1T和C18:2T)的影响

图4 不同烘焙温度连续处理对油茶籽中丙烯酰胺的影响
原文链接:https://doi.org/10.1016/j.foodchem.2026.148695
来源:公众号-食品放大镜
公众号原文链接:https://mp.weixin.qq.com/s/awB8yGK3yBktDv8b6wUwYg

